今回は論理回路についてご紹介いたします。
突然ですがCPUという言葉を聞いたことはありますか?
みなさんがお持ちのスマートフォン、PCなどにも搭載されている、いわばコンピュータの頭脳ともいわれる部品です。
このCPUの中身を見ると、超々々々小さい電子回路でできています。そのなかに論理演算を行う電子部品として論理回路があります。CPUはこの無数にある論理回路を使用して演算を実施しています。

論理回路
論理回路というのは論理演算を行うための電子部品のことを指します。論理演算が分からない方は「基本情報技術者(基礎理論⑤)」を見てみてください。
MIL記号
実際の論理回路はトランジスタなどの電子部品で構成されていますが、論理回路を紙面上に表現する際には論理演算を表現する記号を使用する必要があります。ただ記号は様々な規格があります。
その中でも今回は基本情報技術者試験でも使用するMIL記号をご紹介します。
注意点として、MIL記号そのものの暗記は不要となります。これは試験中にPC上で記号の意味を見ることができるためです。
MIL記号はMIL規格(MIL-STD:Military Standard)で規定されている記号です。
MIL規格というのはアメリカ国防総省が定めている軍用物資の調達規格で、極端な高温・低温、振動、衝撃、湿気、粉塵など、過酷な環境下でも性能を発揮できる高い耐久性と信頼性を保証する基準であり、「ミルスペック(MilSpec)」とも呼ばれています。
基本的なMIL記号
では実際に、基本情報技術者試験で出てくる基本的なMIL記号を見ていきましょう。
| 論理演算 | MIL記号 |
|---|---|
| AND (論理積) | ![]() |
| OR (論理和) | ![]() |
| NOT (否定) | ![]() |
| NAND (否定論理積) | ![]() |
| NOR (否定論理和) | ![]() |
| XOR (排他的論理和) | ![]() |
以上のような記号を組み合わせた論理回路の問題が基本情報技術者の試験では出題されます。
実際にどのような問題が出題されるのか類似問題を使用して確認してみましょう。

まず、基本情報技術者試験の解答の形式として、「MIL記号」「論理式」「真理値表」のどれかを選択して回答する形式として出題されます。
論理回路の問題の解き方としてベン図を使用することを推奨します。(ベン図が分からない方は「基本情報技術者(基礎理論⑤)」をご覧ください。)

①入力値
今回の場合入力値は「A」「B」であり両方「1」なので色付けします。
②AND
ANDの部分の入力は「A」と「B」です。
2入力の両方が「1」のとき、その出力結果が「1」となるので「A」と「B」が重なった部分だけ色付けをします。
③NAND
NANDの部分の入力は「A」と「②の出力結果」です。
NANDは「AND」と「NOT」の組み合わせなので、「A」「②」の2入力の両方が「1」のとき以外、その出力結果が「1」となります。
④OR
ORの部分の入力は、「B」と「②の出力結果」です。
ORは「B」「②の出力結果」のどちらか一方が「1」のとき、その出力結果が「1」となります。
⑤XOR
XORの部分の入力は「③び出力結果」と「④の出力結果」です。
XORは「③び出力結果」「④の出力結果」の片方が「1」のとき、その出力結果が「1」となります。
⑥回答を選択
今回得たベン図から回答方法に合わせて選択肢から選択してください。
実は、論理回路の問題は「ド・モルガンの法則」を利用して解いた方が効率が良い時があります。余裕がある人はぜひ覚えてみてください。ただしベン図を使用した解法でも解くことができますのでわからなくなったときはそちらで解いてください。

復習となりますが、「 」は否定(NOT)、「・」は論理積(AND)「+」は論理和(OR)を表しています。ベン図を描いていただいたらこの2式の左辺と右辺が等しいことがわかります。この形がでてきたら「ド・モルガンの法則」が使えるかも。と疑ってみてください!
(導出方法が気になる方はぜひぐぐってみてください。)
加算回路
いままで学習した論理回路を複数組み合わせることで、たし算をすることができます。
2進数のたし算を行う論理回路を「加算回路」と呼びます。
また「加算回路」には「半加算器」「全加算器」の2種類が存在しています。
半加算器
半加算器というのは、2進数のたし算で、下の位からの桁上がりを考慮しない加算回路のことを言います。2進数には「0」と「1」しか存在しないので2進数のたし算は以下の4パターンしか存在しないと言えます。

上記4つの演算を文字「X」「Y」「S」「C」を使用して真理値表に表してみましょう。ただし「X」「Y」は入力とし、「C」は桁上がり(Carry out)、「S」は和の一桁目の合計(Sum)を表現しています。

半加算器の真理値表はAND回路(論理積)とXOR回路(排他的論理和)の2種類の論理回路を組み合わせることで実現が可能です。

(本当にあっているかベン図を使って確認してくださいね!!!)
全加算器
全加算器というのは、2進数のたし算で、下の位からの桁上がりを考慮する加算器のことを言います。先ほど同様に2進数には「0」と「1」しか存在しないのえ2進数のたし算を考慮すると以下の8パターンが存在します。

では全加算器の場合も真理値表で表現してみましょう。5つの文字「X」「Y」「Z」「S」「C」を使用します。ただし「X」「Y」「S」「C」は半加算器の時と同様で、「Z」は下の位からの桁上がりとします。

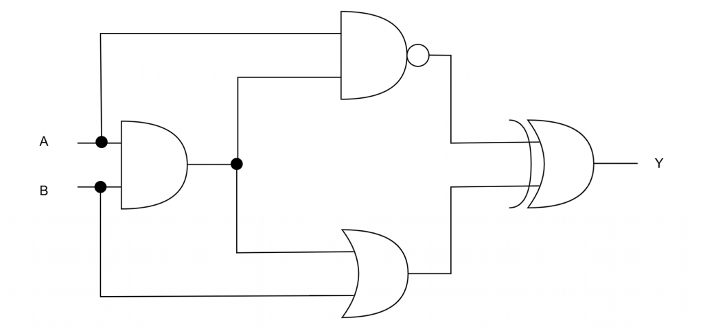
こちらの真理値表は2個の半加算器(HA:Harf Adder)と1個のOR回路(論理和)で実現可能です。
以下に全加算器の論理回路を示します。

素子&ゲート
基本情報技術者の試験では「素子」あるいは「ゲート」という用語が登場します。
論理回路の素子、ゲートは装置を構成する基本の単位で、電気回路の素子というと回路を構成する、トランジスタ、ダイオード、コンデンサ、抵抗などの電子部品のことを指します。
また論理演算を実行する仕組みを構成する素子のことを「論理素子」といいます。
基本情報技術者の試験において「論理素子」「論理回路」「論理ゲート」はすべて同義となります。

(ここは試験に直接関係ないので読み飛ばしてもらって構いません。)
トランジスタ、ダイオード、コンデンサ、抵抗とか名前は聞いたことはあるけどどういうものかわからないという方向けに簡単に説明します!
①トランジスタ
半導体でできた素子で電気信号の増幅やスイッチングをこの素子が行っています。
このトランジスタがCPU内部に数十億から数百億入っているんです!すごい!!
これが無ければいまの情報社会はないと言っても過言ではないほどの発明です!
②ダイオード
半導体でできた素子で電流を一方向にのみ流し、電流の逆流を防ぐ素子です。
交流の電流を直流に変換する整流器や回路保護などに使用されます。
ダイオードの一種であるLED(発光ダイオード)は有名ですよね!
③コンデンサ(キャパシタ)
コンデンサの内部は2枚の金属板(電極)の間に絶縁体(電気を流さない物質)を挟んだ構造の素子です。
基本的に電源(家のコンセントなど)というものは電圧が安定しておらず、そのまま電子機器に使用すると故障の原因となってしまいます。
そこでコンデンサを使用し電圧を安定させ、ノイズを取り除くことで電子機器を故障から防いでいます。
④抵抗
抵抗は電流や電圧を適切に制御するための素子です。
回路に流れる電流が大きくなりすぎることを制限することで電子回路内の素子を破損から防いだり、また1つの電源から異なる電圧を必要とする素子へ適切な電圧を供給します。
ちなみに抵抗に電流が流れると熱(ジュール熱)が発生するのですが、これを利用しているのが電気ヒータやトースターなどです!
まとめ
いかがだったでしょうか。今回はMIL記号、ベン図、論理回路(AND、OR、NOT、XOR、NAND、NOR)、素子(ゲート)について学びました。ここは情報技術の根幹の技術であるため、ほぼ毎回確実に出題される範囲となっています。論理回路の部分は回答に必要な作業が非常に多い部分で時間を要し焦りやすい範囲ですが落ち着いてベン図を使用するなど丁寧に考えていけば必ず正解を導出できるはずです!
①MIL記号は論理回路を紙面上に表現する記号。
②加算回路には半加算器と全加算器がある。
③半加算器は下の位からの桁上がりを考慮しない。
④全加算器は下の位からの桁上がりを考慮する。
⑤論理演算を実行する仕組みを構成する素子のことを論理素子という。










コメント